金厦·凤凰印象
金厦·凤凰印象售楼处电话:400-112-0302【售楼中心】
咨询高峰期请耐心等待,预约来电尊享内部优惠,专业一对一热情服务,让您用专业眼光去买房。
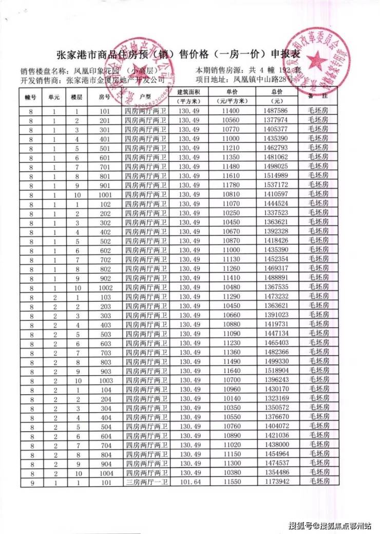
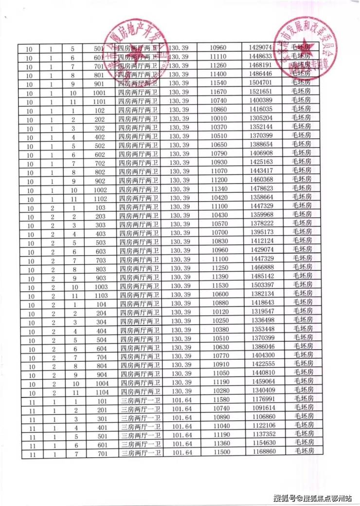
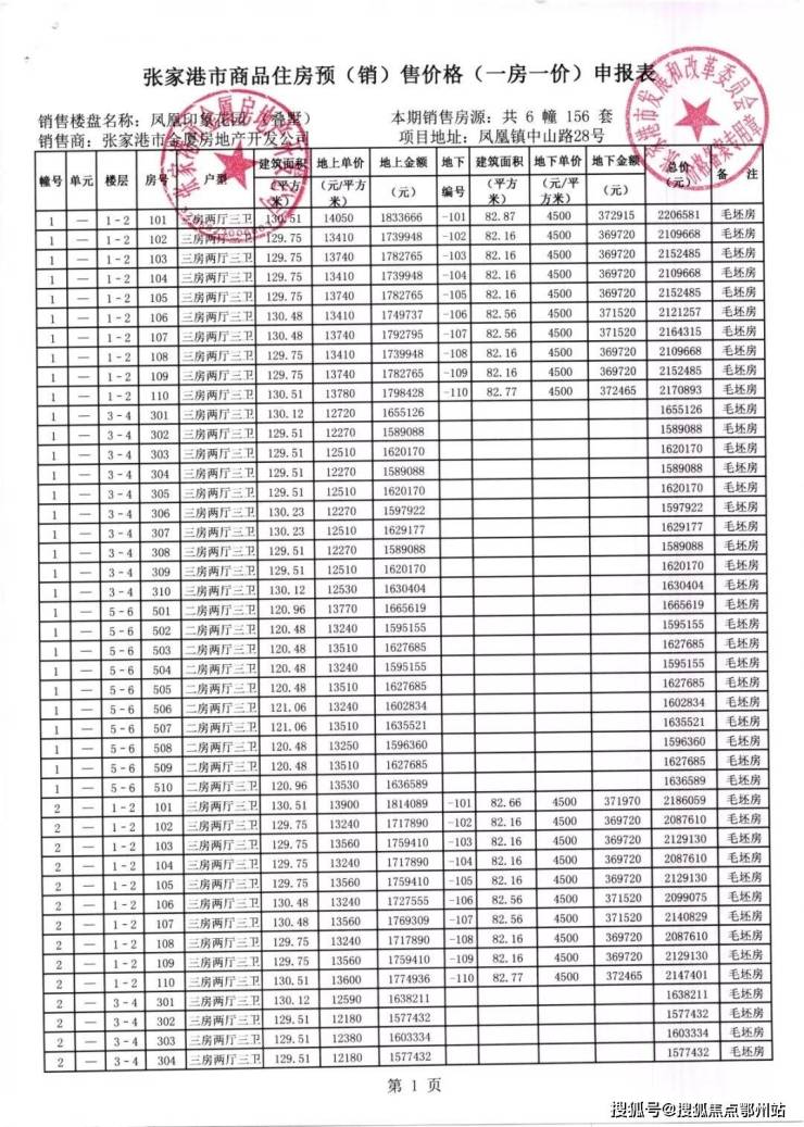
张家港纯新盘——凤凰印象备案价出炉!小高层10200元/平起!

金九即将收官,张家港终于有纯新盘传来消息,位于凤凰新城片区的 凤凰印象 备案价出炉,即将开盘。

凤凰印象 位于映山路南侧、中山路东侧,远眺凤凰山、凤凰湖,南侧由商业配套凤凰生活广场,北侧临近凤凰新城文化中心、凤凰中心小学,交通路网四通八达,周边教育、商业、医疗、生态配套一应俱全。

该项目由金厦房产负责开发,总建面为93484.39平方米,项目产品规划为6幢叠加别墅(6F)和6幢小高层,其中8#为10F小高层,9-13#为11F小高层。户型面积方面,叠加产品有两种户型,上叠建筑面积121平,地下室面积约59平米,中叠和下叠建筑面积为131平,地下室面积分别是24平、83平。小高层主要是两种户型,分别是101平和130平,非常适合刚需和首改购房者。
此次新入市房源位于1#、2#、3#、5#、6#、7#的叠墅,以及位于8#、9#、10#、11#的小高层。备案价现已出炉,小高层价格区间在 10200元/平-11750元/平!叠墅价格区间在12180元/平-14550元/平!
备案价详情一览



金厦·凤凰印象
金厦·凤凰印象售楼处电话:400-112-0302【售楼中心】
咨询高峰期请耐心等待,预约来电尊享内部优惠,专业一对一热情服务,让您用专业眼光去买房。




金厦·凤凰印象
金厦·凤凰印象售楼处电话:400-112-0302【售楼中心】
咨询高峰期请耐心等待,预约来电尊享内部优惠,专业一对一热情服务,让您用专业眼光去买房。


户型推荐
101平平层户型

101平实用小三房,主卧、双次卧、客厅一字排开,全朝南设计,最大限度的将阳光引入各个空间,当清晨起床到日间的活动都能沐浴在阳光和美景当中,享受每一刻温馨的时光!
130平平层户型

凤凰印象 130平洋房户型,深度考量多口之家生活需求,四室的格局,户型方正,四开间朝南,两厅两卫,全亮间设计,完美呈现理想生活居所!
金厦·凤凰印象
金厦·凤凰印象售楼处电话:400-112-0302【售楼中心】
咨询高峰期请耐心等待,预约来电尊享内部优惠,专业一对一热情服务,让您用专业眼光去买房。
郑重承诺:此房源信息真实有效,开发商直属全程营销策划,中介勿扰如有问题欢迎来电咨询,来电即可享受买房优惠!
1、本资料为要约邀请,不作为要约或承诺;买卖双方的权利义务以双方签订的《商品房买卖合同》及其补充协议、附件等书面文件为准;相关宣传内容不排除因政府相关规划、规定及出卖人分期规划、未能控制等原因发生变化;出卖人将!不定期对宣传材料进行修改,敬请留意最新资料。
2、图片来源于网络,仅作为推广示意使用;如涉及版权使用,请与我司联系。