金桥碧云澧悦售楼处电话:400-112-0302【售楼中心】金桥碧云澧悦是浦东周浦的国企住宅项目,占地5.6万㎡,容积率1.8,提供93-165㎡三至四房,均价5.6万/㎡,含特价房源,规划简约风格,绿意盎然。
金桥碧云澧悦
金桥碧云澧悦售楼处电话:400-112-0302【售楼中心】
咨询高峰期请耐心等待,预约来电尊享内部优惠,专业一对一热情服务,让您用专业眼光去买房。
浦东周浦
国企匠心 双轨臻品住宅
「碧云澧悦」二期
394套建面约93-165㎡3-4房
过会均价约5.6万/㎡
目前少量房 直接认购

项目二期加推7-10-11-12-13-14-15#,共394套住宅(含4套非标84㎡两房)

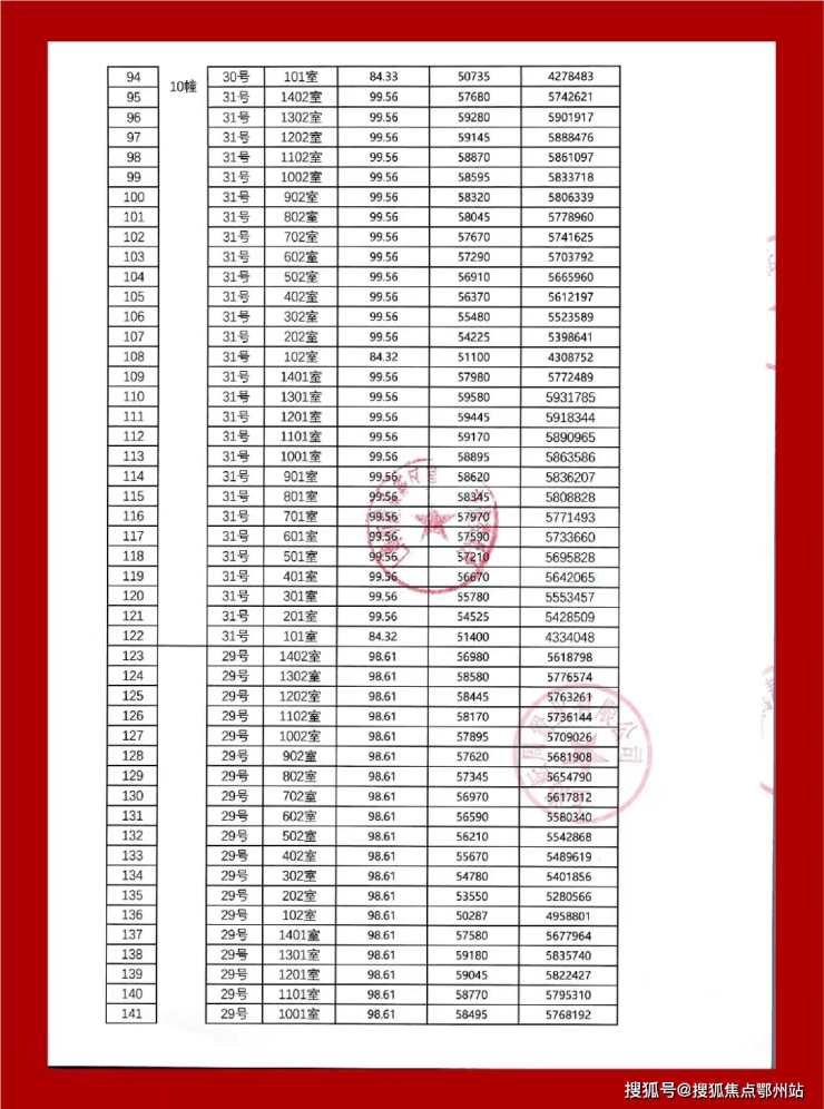
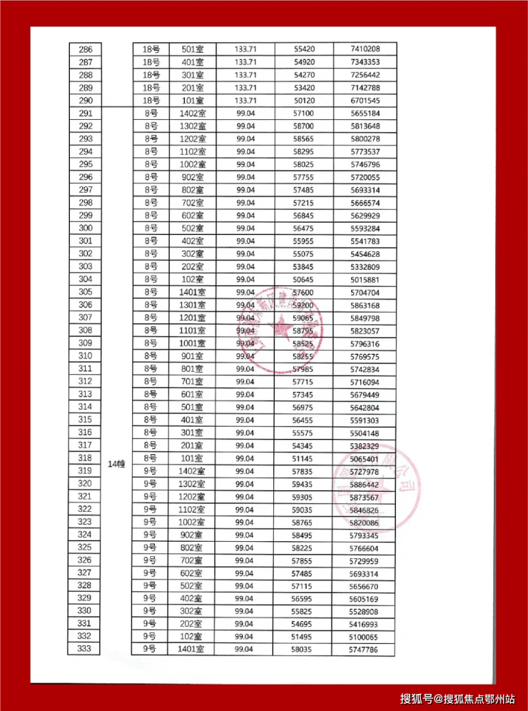
目前特价房源:

最新一房一价表:

金桥碧云澧悦
金桥碧云澧悦售楼处电话:400-112-0302【售楼中心】
咨询高峰期请耐心等待,预约来电尊享内部优惠,专业一对一热情服务,让您用专业眼光去买房。









户型图如下:




金桥碧云澧悦
金桥碧云澧悦售楼处电话:400-112-0302【售楼中心】
咨询高峰期请耐心等待,预约来电尊享内部优惠,专业一对一热情服务,让您用专业眼光去买房。
地块出让面积55998.9㎡,容积率1.8, 溢价率0%,成交楼板价31080元/㎡,房地联动价56000元/㎡。

项目地块东至周园路,西至16-01地块,南至16-03地块,北至韵涛路。根据公示,项目将拟建11F-14F住宅商品房,以及17F保障住宅,1-2F配套。
总占地面积约5.6万平方米,容积率1.8,总建筑面积15.5万平方米,其中地上建筑面积10.6万平方米,地下建筑面积为4.9万平方米。



项目精心规划“一环一轴三园”,于建筑中另辟一方天地,以绿意包裹整个小区,打造绿氧环绕的公园住区。漫步在花园小径,呼吸新鲜氧负离子,在自然中享受阳光微醺和清新绿意,在生机盎然中安享静谧。


在上世纪的德国建筑大师密斯·凡德罗,“Less is more.”的极简主义审美驱动下,项目规划以简约流线型线条为主脉络,框体结构搭配层叠横向线条,辅以庄重典雅的淡色玻璃,从而营造隐而不喧的优雅色彩,简约的设计更能呈现丰富的内涵,细节的掌控凸显匠心的品质。

公园住区,因低密而愈加纯粹,项目以1.8的低容积率,塑造低密人居空间的舒适尺度,疏阔的楼间距,邀阳光与风景入席,避免楼宇间贴合感,推窗即风景,给予生活更多留白。项目规划建面约93-165㎡四种主力户型,家族的生活奢想在此皆有可能。

金桥周浦项目位于浦东周浦镇,在《上海市浦东新区国土空间总体规划(2017-2035)》中,再次重点强调了周浦的定位:

至2035年,发展成为凝聚科创力量,充满人文气息的“魅力小上海”,依托张江科学城,形成以医疗服务、电子商务和时尚创意为主导产业,宜居宜业的综合型城镇。

交通方面,项目距离16号线周浦东站约1.8公里、18号线繁荣路站约2.6公里,算不上名副其实的地铁盘,可借助其他短驳交通工具,通勤到张江、前滩、陆家嘴、人民广场等核心区域还是比较方便的!
自驾出行也十分便捷,通过沪奉公路链接外环、中环、罗山高架以及申嘉湖高速等城市主干道,四通八达!

商业方面,板块内配套成熟,3km范围内有万达广场,小上海步行街,绿地缤纷广场,印象生活广场等商业中心。

教育方面,周边有浦东新区澧溪幼儿园、傅雷幼儿园、澧溪小学、周浦第二小学、周浦实验学校、澧溪中学、傅雷中学等教育配套。
(项目周边的幼儿园、小学、中学等教育设施(如有)是城市公共生活配套的重要组成部分。本项目销售过程中,部分展示与介绍可能涉及项目周边已有或规划中教育设施,但并非项目所在的学区,本项目不承诺任何学区,介绍此信息旨在帮助客户更全面的了解项目周边条件,并不代表我公司对此提供保证。)

医疗方面,项目南侧就是浦东新区周浦医院,步行可达,可以完全满足平时基本的就医需求。

休闲方面,项目1公里范围内有周浦文化公园、周浦体育中心(在建)等配套。

金桥碧云澧悦
金桥碧云澧悦售楼处电话:400-112-0302【售楼中心】
咨询高峰期请耐心等待,预约来电尊享内部优惠,专业一对一热情服务,让您用专业眼光去买房。
郑重承诺:此房源信息真实有效,开发商直属全程营销策划,中介勿扰如有问题欢迎来电咨询,来电即可享受买房优惠!
1、本资料为要约邀请,不作为要约或承诺;买卖双方的权利义务以双方签订的《商品房买卖合同》及其补充协议、附件等书面文件为准;相关宣传内容不排除因政府相关规划、规定及出卖人分期规划、未能控制等原因发生变化;出卖人将!不定期对宣传材料进行修改,敬请留意最新资料。
2、图片来源于网络,仅作为推广示意使用;如涉及版权使用,请与我司联系。